Azitromicina e Quinolonas como fatores de risco para morte súbita em hemodiálise?

Ondansetrona e o risco de morte súbita em hemodiálise

Quilotórax maciço em um paciente em hemodiálise

Tratamento da nefropatia membranosa em foco: Ponticelli “dose reduzida” vs padrão

Quinolonas e os eventos adversos na Doença renal crônica

Devemos utilizar espironolactona na hemodiálise?

Paciente dialítico admitido com rebaixamento de consciência
### PONTOS CHAVE
- A remoção excessiva de potássio durante a sessão de diálise (gradiente potássio sérico-dialisato) pode aumentar o risco de alargamento do intervalo QT e arritmias ventriculares.
- Pacientes em hemodiálise possuem risco aumentado de morte súbita.
- Este estudo mostrou uma associação entre o uso de antibióticos que prolongam o intervalo QT e o risco de morte súbita nos pacientes em hemodiálise.
- Foi observado um maior risco de morte súbita em pacientes que receberam Azitromicina, Levofloxacino ou Moxifloxacino quando comparado a pacientes em uso de amoxicilina para tratamento de infecções respiratórias.
- É interessante notar que esse risco foi ainda maior nos pacientes que possuíam um maior gradiente de potássio sérico-dialisato.
- Devemos redobrar atenção ao prescrever medicamentos com potencial de prolongar intervalo QT em pacientes em hemodiálise, principalmente se histórico de intervalo QT longo ou insuficiência cardíaca, que possuem um maior risco de morte súbita.
## MOTIVO DO ESTUDO
Pacientes em hemodiálise possuem um risco aumentado de arritmias ventriculares e morte súbita, uma taxa estimada de mais de 20 vezes quando comparado a população geral.
Pacientes que dialisam com um maior gradiente de potássio (sérico-dialisato) possuem um maior risco de apresentar intervalo QT prolongado, e este se associa com maior risco de hospitalização e morte.
Os pacientes dialíticos são submetidos a inúmeros agentes pro-arritmicos, principalmente medicamentos que podem prolongar o intervalo QT, sendo a azitromicina e quinolonas respiratórias os medicamentos que alteram o intervalo QT mais utilizados.
Estudos recentes mostraram associação entre estes antibióticos e o risco de morte súbita, porém será que as mudanças do potássio durante uma sessão de diálise interferem no risco de arritmias morte súbita em pacientes que utilizam tais medicamentos?
## RESUMO DO ESTUDO
**Artigo**: QT-Prolonging Antibiotics, Serum-to-Dialysate Potassium Gradient, and Risk of Sudden Cardiac Death Among Patients Receiving Maintenance Hemodialysis ([link](https://www.ncbi.nlm.nih.gov/pmc/articles/PMC10127135/pdf/main.pdf))
**Revista**: Kidney Medicine, publicado em 15 de Fevereiro de 2023
**Metodologia**
Este estudo foi conduzido para avaliar se o gradiente de potássio sérico-dialisato modifica o risco de morte súbita em pacientes em tratamento com antibióticos que aumentam o intervalo QT.
Foram analisados dados do US Renal Data System (USRDS), foi um estudo de coorte retrospectivo (2007-2017), com comparação ativa, que tentou avaliar se o gradiente de potássio modifica o risco de morte súbita quando pacientes em HD estão em tratamento com antibióticos que prolongam o intervalo QT.
Foram excluídos da análise pacientes incidentes (< 90 dias de HD), sem informações sobre potássio sérico, hospitalizados ou com internação recente e portadores de cardio-desfibrilador implantável.
No banco de dados foram feitas comparações entre pacientes em hemodiálise com os seguintes tratamentos:
- Azitromicina vs amoxicilina
- Quinolona respiratória vs amoxicilina
*Quinolona respiratórias: moxifloxacino ou levofloxacino
A amoxicilina foi utilizada como medicamento comparador (controle) dos pacientes em HD que também estavam em tratamento de infecções respiratórias e que não utilizaram medicamentos que prolongam intervalo QT.
Foi identificado o período de prescrição dos medicamentos e após isso foi realizado seguimento por 14 dias para avaliar evolução com morte súbita.
O efeito modificador de interesse foi o gradiente de potássio sérico-dialisato do período mais próximo ao início dos medicamentos. Foi realizado uma análise dicotômica com relação ao gradiente de potássio sérico-dialisato (≥3 mEq/L ou <3mEq/L), tendo em vista que estudos prévios mostram maior risco de hospitalização e morte com gradientes ≥3 mEq/L.
Realizado levantamento da taxa de morte cardíaca súbita nos primeiros 14 dias do uso do antibiótico, definido como **morte por arritmia** ou **parada cardíaca como morte primária**.
**Resultados**
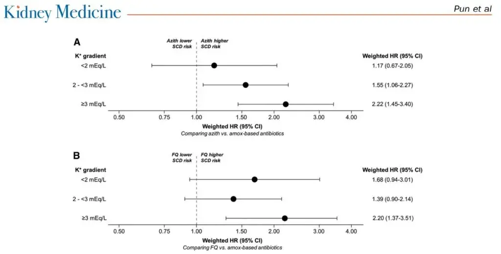
**Azitromicina vs Amoxicilina:** Foram mais de 217.000 pacientes analisados, 113.516 foram tratados com azitromicina e 103.493 tratados com amoxicilina. Um total de 38,7% dos pacientes apresentou um gradiente de potássio > 3mEq/L. Ocorreu um total de **274 episódios de morte súbita**, sendo observado mais episódios com azitromicina do que com amoxicilina (**15,5 vs 9,4 eventos para cada 10.000 tratamentos**), **HR, 1.68; IC 95%, 1.31-2.16).** O risco foi ainda maior nos pacientes com gradiente de K ≥3 mEq/L (HR 2.22; IC 95%, 1.46-3.40 vs 1.43; IC 95%, 1.04-1.96).
**Quinolonas respiratórias vs Amoxicilina:** Foram 65.659 pacientes em uso de quinolonas e 103.776 em uso de amoxicilina. Foi observado um total de **233 episódios de morte súbita** após um seguimento de 14 dias, semelhante ao observado com Azitromicina foi também identificado uma maior taxa de eventos quando comparado com amoxicilina (**20,3 vs 9,5 eventos para cada 10.000 tratamentos**) com HR, 1.72; IC 95%, 1.30-2.27). O risco foi ainda maior nos pacientes com gradiente de K > 3mEq/L (HR, 2.19; IC 95%, 1.37-3.50 vs 1.50; IC 95%, 1.06-2.11).

Azitromicina e Quinolonas respiratórias vs Amoxicilina e o risco de morte súbita em 14 dias
## OPINIÃO NEFROATUAL
Este foi um estudo interessante que mostrou uma associação entre antibióticos que prolongam o intervalo QT (azitromicina/levofloxacino/moxifloxacino) com risco de morte súbita nos pacientes em hemodiálise. Este risco foi ainda maior em pacientes que apresentavam um maior gradiente de potássio (sérico-dialisato) ≥3 mEq/L.
O risco de morte súbita e antibióticos que prolongam o intervalo QT já foi descrita na população geral e na população com DRC dialítica.
Talvez devemos ter mais atenção em prescrever Azitromicina/Levofloxacino/Moxifloxacino em pacientes em hemodiálise, principalmente para pacientes com insuficiência cardíaca grave ou que já possuam um intervalo QT longo, ou seja, maior risco de morte súbita por arritmias potencialmente fatais.
O estudo possui limitações importantes: retrospectivo, limitado poder estatístico devido limitado número de eventos nos 14 dias seguimento pós medicamentos e a não padronização de medida de potássio e realização de ECG, logo, fatores de confusão que podem influenciar nos resultados.
É importante frisar que o risco de QT longo é maior quando os pacientes apresentam hipocalemia. Apesar dos pacientes em hemodiálise frequentemente se apresentarem com hipercalemia, devemos lembrar das constantes variações pré/pós diálise como fatores de risco adicionais.
Esse foi mais um estudo que mostrou que um maior gradiente de potássio sérico-dialisato aumenta risco de arritmias/morte súbita, devemos ter atenção redobrada para não utilizar banhos de diálise com K < 2 mEq/L, inclusive esta já é uma recomendação bem definida na literatura.
O número de eventos de morte súbita foi pequeno, porém certamente devemos ficar atentos ao intervalo QT e níveis de potássio em pacientes em Hemodiálise que considerarmos a prescrição de Azitromicina, Levofloxacino ou Moxifloxacino, bem como outros medicamentos que prolonguem o intervalor QT.